Nos vulgarisations et tutoriels
Spark 3 : à la découverte des RDD [Part 2]
Dans cette partie nous allons nous intéresser aux fichiers de données et leur utilisation sous Spark 3, le tout en analysant les données de...
Installation de Spark 3 sous Windows [Part 1]
S'il est bien une technologie qui revient régulièrement dans le monde du Big Data, c'est Spark. Mais de quoi s'agit-il exactement, à quoi sert...
L’histoire d’OpenAI et de GPT3
Elon Musk, Bill Gate et Stephen Hawking partagent tous les trois une même opinion : d’après eux, l’intelligence artificielle est un grand danger pour l’avenir...
Analyse en composantes principales face à la malédiction de la dimensionnalité
L’analyse en composantes principales (PCA) est un algorithme de machine learning non supervisé mis en place lorsque le nombre de dimensions est très grand.
Sa...
Evaluer la puissance de transfer learning pour la classification d’images médicales
Ce projet avait deux objectifs principaux. Le premier consistait à construire un réseau neuronal convolutif (CNN) à partir de zéro. Une approche très élaborée...
Génération de code : les développeurs remplacés par des modèles d’IA...
Si vous lisez cet article, vous êtes peut-être développeur.
Cela tombe bien, car nous allons explorer une question qui vous concerne : l’intelligence artificielle va-t-elle...
Machine Learning pour débutant : Régression linéaire avec une seule variable...
Prérequis
Pour suivre et comprendre cet article dans les meilleurs conditions, il est recommandé de :
Lire l’article précédent (si ce n’est pas encore fait) qui...
Comparer rapidement des algorithmes de Machine Learning pour une régression /...
Ce besoin revient souvent, en particulier lorsqu'on débute en Machine Learning, qu'on est étudiant… ou qu'on préfère consacrer son temps à du fine-tuning.
En effet,...
La méthode folle de Google pour comprendre le sens des mots...
Ce que cet article va vous apporter :
Nous allons parler de Word Embedding. Cette méthode a permis une amélioration majeure des algorithmes de machine...
Machine Learning pour débutant : Régression linéaire avec plusieurs variables
Prérequis
Pour suivre et comprendre cet article dans les meilleurs conditions, il est recommandé de :
Lire le premier article de la série (si ce...
Transfert Learning : Aide au diagnostic de la pneumonie
Introduction
La pneumonie
L’Organisation Mondiale de la Santé (OMS) et le Fond International des Nations Unies pour l'Enfance (Unicef) caractérisent dans un rapport publié en 2006...
Les métiers du futur en intelligence artificielle
Il y a deux ans, le magazine Forbes publiait des chiffres intéressants sur le marché mondial de l'intelligence artificielle en matière d'emploi :
(sans surprise)...
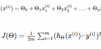
Machine Learning pour débutant : Régression linéaire avec une seule variable...
Prérequis
Pour suivre et comprendre cet article dans les meilleurs conditions, il est recommandé de :
Lire l'article précédent (si ce n'est pas encore fait)...
TP : Détection d’objet à partir d’une IA pré-entraînée
Il y a deux ans nous découvrions ensemble le mobilenet-ssd au travers d'un TP basé sur Tensorflow.
Les retours ont été très nombreux et positifs,...
Maîtriser Jupyter Notebook : les notifications Chrome / Firefox
Avant de nous remettre aux tutoriels plus complexes, faisons une petite pause pour mieux découvrir l'IDE préféré des data scientists : Jupyter Notebook.
Combien de...
Machine Learning pour débutant : Introduction au Machine Learning
Cet article est le premier d'une suite d'article intitulée "Machine Learning pour débutant". Dans cette suite, nous allons abordé toutes les techniques de bases...
Comment « pense » une Intelligence Artificielle ? – Partie I
L'IA déchaîne notre imaginaire, et il n'est pas rare de voir des titres sensationnels suggérant qu'elle peut "penser", "comprendre", s'adapter à l'instar d'un être...
Le meilleur optimizer en IA ? Ranger = RAdam + LookAhead,...
Après avoir trouvé LA fonction d'activation (Mish) pour nos réseaux de neurones, je vous propose de découvrir (et comprendre) ensemble le meilleur optimizer, qui...
Le meilleur framework de Machine Learning en 2019
Lorsqu'on s'attaque à un problème de Deep Learning, on s'interroge quasi-systématiquement sur le framework à utiliser. Beaucoup revendiquent être le plus populaire, mais qu'en...
Mish vs ReLU : quelle est la meilleure fonction d’activation ?
Les fonctions d'activation, simulacre de transfert électrique entre synapses, des réseaux de neurones jouent un rôle déterminant dans les prédictions de ces derniers.
Pourtant, il...
Comprendre le fonctionnement d’un LSTM et d’un GRU en schémas
Les réseaux de neurones récurrents (RNN) sont largement utilisés en intelligence artificielle dès lors qu'une notion temporelle intervient dans les données (parfois "cachée" comme...
Comment écrire un article sur Pensée Artificielle
Vous souhaitez partager vos connaissances auprès d'une communauté dédiée ? Vous ne savez pas comment écrire un article en ligne qui soit valorisé par...
Découvrez le vaste monde de l’IA grâce à une carte avec...
Quand on parvient à s'accorder sur la définition de l'intelligence artificielle, on constate que le sujet est extrêmement vaste. Des systèmes experts au deep...
Détection de fraude en temps réel avec LightGBM et SocketIO
Si la détection de fraude est un enjeu majeur souvent difficile à aborder en raison de la disparité des données (peu de cas "positifs"),...
Tout pour bien démarrer dans l’intelligence artificielle (Partie 5) – Deep...
Si on a vu en détail le Machine Learning dans le précédent article, aujourd'hui nous allons nous intéresser au Deep Learning : une famille...
TP : La Reconnaissance Faciale
Dans le focus précédent, nous avons vu en détail ce qu'était la reconnaissance faciale et comment elle fonctionnait.
Aujourd'hui, je vous propose de mettre tout...
Focus : la Reconnaissance Faciale
La reconnaissance faciale ne cesse de nous faire rêver - et frissonner - depuis quelques années. Si le principe est clair, reconnaître quelqu'un à...
Tout pour bien démarrer dans l’intelligence artificielle (Partie 4) – Machine...
Maintenant que vous avez toutes les ressources pour vous auto-former, nous allons pouvoir réaliser ensemble un panel complet des différents algorithmes de Machine Learning avec...
Un outil qui regroupe publication et code : PapersWithCode !
De nos jours, pour qu'une start-up (en intelligence artificielle) soit attractive, elle se doit d'utiliser les derniers algorithmes en lice. Publiés par des équipes...
Tout pour bien démarrer dans l’intelligence artificielle (Partie 3) – Formation
Dans la partie 2 de cette série, dont le but est de fournir un panel de connaissances autour de l'IA sans rentrer trop dans...
Tout pour bien démarrer dans l’intelligence artificielle (Partie 2) – Notions...
Dans la partie 1 de cette série, dont le but est de fournir un panel de connaissances autour de l'IA sans rentrer trop dans...
Tout pour bien démarrer dans l’intelligence artificielle (Partie 1) – Bases...
Les tutoriels pour apprendre un algorithme précis ne manquent pas, et pourtant on me pose souvent la question : comment me mettre à l'IA...
Focus : Augmented Random Search, l’apprentissage par renforcement surpuissant
IA pour les échecs et le GO, robots équilibristes ou drones, IA dans les jeux vidéos... l'apprentissage par renforcement vient de faire un bon de...
Installer Caffe sous Windows 10 avec Python 3, c’est possible !
Aujourd'hui nous allons découvrir ensemble le framework de deep learning "Caffe", développé par l'Université de Berkeley et dédié à l'analyse d'image.
Nous verrons en particulier...
TP : Le Réseau de Neurones Convolutifs
Ce TP fait suite au focus expliquant en détails comment fonctionne un réseau de neurones convolutifs (CNN). Il est fortement recommandé d'avoir lu la...
Focus : Le Réseau de Neurones Convolutifs
L'une des capacités fondamentales de l'humain est celle d'analyser son environnement. Dans la majorité des cas, cela passe par la reconnaissance des éléments de...
Les métiers de l’intelligence artificielle
Vous voulez travailler dans l'intelligence artificielle (IA) mais ne savez pas quel métier viser ? Vous recherchez un ingénieur pour mettre en place une...
Différence entre Intelligence Artificielle, Machine Learning et Deep Learning
L'intelligence artificielle est partout dans la presse. Le machine learning est partout dans les entreprises. Le deep learning est partout dans la recherche.
Quel est...
Installer facilement Tensorflow GPU sous Windows
Tensorflow, le framework d'intelligence artificielle de Google, se décline en deux versions : la première utilise votre processeur pour faire les calculs (c'est la...
Tirage aléatoire d’un Gagnant sur un Média Social (scraping)
Que ce soit sur Facebook, Twitter, Instagram ou tout autre média social, beaucoup d'entreprises organisent des jeux concours. Partagez, aimez, tweetez, etc... sont autant...
Nengo, le simulateur de cerveau et de ses neurones
Lorsque l'on parle de réseaux de neurones avec le grand public, il est souvent difficile de bien faire comprendre ce qu'il se cache derrière....
Tutoriel : FizzBuzz avec TensorFlow
Le Fizz Buzz est un petit test utilisé essentiellement en 2007 lors des entretiens de candidats développeurs.
Si l'exercice est simple, les résultats de l'époque...
Focus : l’IA Négociatrice qui invente un Langage (Facebook)
Vous avez très certainement entendu parler de ces deux intelligences artificielles qui ont inventé d'elles-mêmes un langage, à tel point que les chercheurs de...
Focus : Le Réseau de Neurones Artificiels ou Perceptron Multicouche
Les réseaux de neurones artificiels sont simplement des systèmes inspirés du fonctionnement des neurones biologiques. Le plus célèbre d'entre eux est le perceptron multicouche...
Quelle distance choisir en machine learning
Un article qui sort de l'habituel puisqu'il est orienté Mathématiques... Non, restez, ce sera intéressant !
On vous propose de découvrir avec nous qu'est-ce qu'une...
Focus : MobileNet-SSD, pour identifier les objets avec une caméra de...
Il n'y a pas si longtemps, on parlait des MobileNet, de la reconnaissance d'image en temps réel. Véritable enjeux de notre société, son application...
Focus : MobileNet, une reconnaissance d’images temps réel et embarquée surpuissante
La reconnaissance d'image est l'enjeu majeur du deep learning (les algorithmes d'apprentissage à "plusieurs niveaux) et du monde moderne, car les champs d'application sont...
Le Lexique du Data Scientist
Présentation
Ce petit article regroupe les nombreux termes sur lesquels vous risquez de tomber sur ce blog ou de manière générale dans la littérature de...
Tutoriel : Massive Google Image scraping
Présentation
Pouvoir constituer une base d'apprentissage pour un algorithme de reconnaissance d'images n'est pas toujours évident. En effet, pour pouvoir entraîner un CNN (Convolutional Neural...
![Spark 3 : à la découverte des RDD [Part 2]](https://penseeartificielle.fr/wp-content/uploads/2022/02/fire-1905608_1280-324x160.jpg)
![Installation de Spark 3 sous Windows [Part 1]](https://penseeartificielle.fr/wp-content/uploads/2022/02/pexels-fabiano-rodrigues-1662298-324x160.jpg)













































